Под стекло № 10, 2009

Лечащий врач № 10, 2009 рубрика Под стекло - алгоритмы, рекомендации и таблицы, которые регулярно требуются в клинической практике.




АМП для терапии инфекций дыхательных путей *

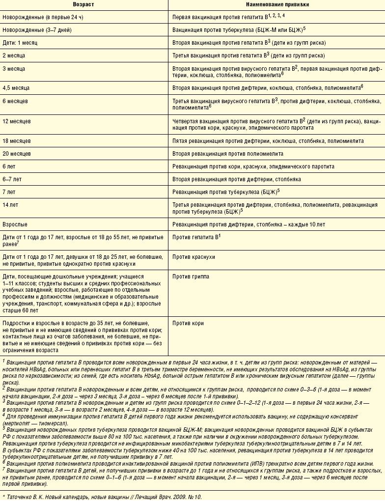
Календарь профилактических прививок России, 2008 г.*


Купить номер с этой статьей в pdf

Актуальные проблемы

Специализации




Календарь событий:




Вход на сайт

Мы используем cookie, чтобы сделать наш сайт удобнее для вас. Оставаясь на сайте, вы даете свое согласие на использование cookie. Подробнее см. Политику обработки персональных данных